Все собрались? Ага, вижу знакомые лица. Вполне даже нормальные, а не перекошенные, как на вступительных. Колупанов где? Какие гномы, ничего не знаю – он опоздал.
Начинаем.
Сегодня у нас вводная лекция. Тема: «Становление торговых систем и универсальная формула цены».
Все вы, тут присутствующие, думаете получить билет на Полустанок, сбегать в рейд и притащить на спине чего-то ценного. Пару килограмм гафния. Продать, и жить припеваючи. Что, не хотите? Помните клятву академии? А как же четверть выпускников, которые срываются в свободное плаванье еще в первый год? Из Полустанка по всей вселенной? Или еще четверть, которая пропадает в следующие десять лет? Не они? Верю, верю. До получения диплома – ни-ни.
Потому эта лекция – одна из многих почти бесполезных попыток вправить вам мозги. Первый пункт плана – эволюция торговых систем.
Все помнят, когда открыли первый портал в Полустанок – что случилось? Нет, армия позднее сунулась. Первыми были трое мужичков, которые думали хризолитом торговать. Ну, куда из Полустанка второй портал открыли, туда и полезли. И до революции цен, когда мы в Содружество вошли, таких умных было – плюй не хочу. Золото, жемчуг, сандаловое дерево, алмазы – народ на себе все тянул, прямо роздыху не знал. Старатели, одно слово…
Вы все любите смотреть фильмы про то время. Романтика так и прет. Золото меняется на свинцовую пулю, а стеклянные браслеты – на сифилис. Когда храбрость и предприимчивость - это еще человеческие качества, а не результаты маркетинговых вычислений. Загорелись глазки? Конечно загорелись. Но мы тут именно для маркетинга, для самого скучного и нудного занятия.
Про что не снимают наши киноделы? Про болезни снимают, каждый второй ужастик про глаза на груди или детей с двумя головами. Про то, как за неправильно затушенный окурок в других мирах на пожизненное садятся – клепают за милую душу. Даже про то, как здесь, у нас, поначалу было трудно золото реализовать – «Раз на раз не приходится» сняли, комедию.
Сюжет с организацией торговли – он самый невыгодный. Первопроходцы, которые на своем горбу все вытаскивали, вдруг оказываются никому не нужны. Их личное время – чему научились, сколько заработали – оказывается медленнее времени исторического. Представьте, что вы вкалывали несколько лет, вам не верили, считали вором, вам требовалась конспирация – и вот те самые люди, которые раньше крутили пальцем у виска, услышав что-то про Полустанок, теперь приходят в ваш бизнес, располагаются как у себя дома, и выставить их за дверь не получится. На них стороне закон, сила, у них попросту есть деньги.
Это «вестерны» хорошо смотреть – потому что эпоха стала легендой. А у нас ковбои еще живы. И те бизнесмены, что финансовые потоки отлаживали – тоже на местах. Нехорошо может получиться… Но есть один типаж, который гоняют и в хвост, и в гриву. Рационализатор.
Это парнишка, а еще лучше девушка. Креативность из ноздрей так и прёт. Является он или она в контору, где все устоялось, где сделки проворачиваются с лёгким скрипом. Раз – и поднимает оборот фирмы в два раза. Или в три. То додумается производство паровых машин развернуть во «Втором ненормальном», то средневековых секторах швейную машинку покажет и фабрику организует.
«Всё уже украдено до нас», - лучший ответ на этот вопрос. Все гениальные схемы давно схвачены. И если вам покажется, что все вокруг идиоты, и не видят простого способа заработать – подумайте, может вам мозги жмут? Менеджеров всегда хватает. А вот с экскаваторщиками – проблема. Не захотели на факультет «строительных машин» идти? Ну и сами виноваты.
О чем это я? /скрип ножного протеза/
Да, второй пункт: «Условия межмировой торговли»
Никакая торговля не идет без градиента – разницы потенциалов. Если из своего мира вы попадает в точно такой же, где абсолютно все тоже самое, а цена доставки «того же самого» на свою сторону – делает его слишком дорогим, считайте, что рыли подкоп и угодили в соседнюю тюремную камеру.
Градиентами чего мы занимается?
В первую голову это сырье. Сы-рьё, главные-то моменты записывайте… У аматора-теоретика Карсака, в «Львах Эльдорадо» была построена идеальная модель: через портал проходит только руда или порошок металлов, а все целые изделия становятся порошками. Такой «пылесос» у нас в итоге и получился: все легкодоступное, что в дикой природе растет или под ногами валяется – давно здесь. Так что «золото-брильянты» как говорили во времена моей молодости, это неактуально. Приходится платить ими в тех мирах, где уже наладили производство редкоземельных металлов. Без центрифуги как ты уран получишь? Что, Бражников? Да, редкости. Мода возникает на раковины или там на черепа носорогов. Предметы искусства тоже тянут. Отвечаю – ненадежно. Про арт-рынок вам на третьем курсе объяснять будут, но сразу говорю – без хороших связей вы ничего не продадите. Знал я одного старателя, почти сталкера, который начитался «Холодных берегов» теоретика Лукьяненко. Там описывается парная статуя для статуи Давида – ну, которую Микеланджело исполнил. Статуя Голиафа.
Шедевр был. Без дураков. Но мужик не вписался в рынок. Пришли к нему галерейщики, с охраной понятно. Слово за слово, взорвали они того «Голиафа» динамитной шашкой. Хорошо, что Петрович уцелел. Потому прямо говорю: если хотите прихватить милую безделушку – ваше дело. Хотите собрать коллекцию монет или там статуэток – да флаг вам в руки. На любом блошином рынке будет не хуже. Заявите, что открыли за Полустанком нового гения – оторвут голову.
Вторым пунктом торговли идут промышленные товары. Теоретик-дилетант Вартанов в своей «Белой дороге» описал сословие торговцев, которые толкали из мира в мир неразрывную парусину, магические кристаллы, гранатометы, фонарики. Обычное купечество. Похожую картину дала романтическая аматор Э. Нортон в «Королеве Солнца» - летает себе кораблик от планеты к планете, и торгует тем, чего душа просит.
Ничто прекрасное не вечно. Это дикарям при случае можно впарить стальной нож и сказануть про магию. А кто поумнее – те требуют рассказать секреты. Если место уже натоптанное, то приходится делиться. Косвенно эту модель описывает Паншин, в «Обряде перехода» - там умники на переделанном астероиде летали от планеты к планете. На астероиде уцелели знания старые, которые с Земли, а на планетах колонисты одичали малость. Вот и получался хром в обмен на технологию. Известный Лукьяненко так же намекает на эту схему в «Заставе», но там модель сыровата.
Наконец, торгуем и людьми. В хорошем смысле. Специалисты везде нужны – инженеры, художники, полководцы на худой конец. Сильверберг описал ситуацию, когда хороший управленец не мог расплатиться за своё лечение ничем иным, кроме как работой диспетчером – тоже торговля человеком. Есть попытки работать и с «живым товаром». Всегда. То есть продавать тело человека, наплевав на душу. Завоз сюда нелегальных людей через порталы – десяточка. Запишите, запишите…
Думаете, только злобные таможенники сидят у порталов и всех вас, таких молодых, талантливых, готовы под статью подвести? Да много где в гробу видали ваши таланты к открытию порталов. Торговле препятствуют три основных условия – это, кстати, следующий, третий же, пункт плана.
Во-первых, управляемость и емкость канала. Думаете, какой самый примитивный случай торговли между мирами? Нет, Рудая, не этот. Исходный случай – попаданец. У него есть множество товаров из другого мира, технологии, он сам тоже товар – но всю прибыль он может оставить лишь самому себе. Конечный случай – это распахнутые врата, по которым можно пускать ж/д составы. Это межпланетный масштаб. У теоретика Симмонса в «Гиперионе» фактически прописано наше Содружество, почитайте на досуге. Если масштаб не космический, а все пытаются сделать келейно – это означает «тайно», Переверзева, секретно, - все выплывает и начинается война. В любом случае будет война, но иногда власти пытаются в последний момент дать задний ход. У нас такого не случилось, а вот в «Транквилиуме» именно такое предательство и описал Лазарчук – хотели гнать войска и поселенцев, а как не вышло, спецназу стреляли в спину.
Во-вторых, это сбор и хранение товара. Система складов, дорог, торговых факторий, да всего на свете. Подробно – во втором семестре рассказывать будут, Шерстолапов гонять станет, на логистике.
В-третьих, это неизбежные последствия нашей торговли. Дикари не просто учатся, они меняются. Откроешь варварам дорогу к теплым приморским городам – в два счета туда переселятся и в свои степи возвращаться не захотят. Сюжет отыгран у аматора-теоретика Гаррисона. Очередной Темучин спускается с нагорий, и как потом заставишь кочевников вкалывать на урановых рудниках? В технологически продвинутых мирах – нас самих принимают за варваров. С межпланетными путешествиями – на кораблях - там тоже бывают проблемы: ставят минные поля вокруг планет, таможни такие, что лишнюю блоху в прическе не пронесешь. Сложно там, чаще на вообще вышибают или вводят торговые ограничения на высокие технологии. Мы оказываемся в положении жителей планеты, которых в «Аборигене» землюки держали на коротком поводке. Содружество далеко не всегда помогает, между прочим. Да, кстати, весь импорт из тех миров – только через государство. Если попытаетесь протащить сюда ИскИн или трансформатор генокода – пожизненное.
Что получается? Любой портал, это прежде всего изменения в обществе – вбейте в свои головы. Только открылась дверь, пошел процесс. Даже практики уровня Токугава или Лукашенко не могут устроить полную заморозку. И на одиночках торговля не останавливается. Надо быть абсолютно конспиративным параноиком, чтобы оставить себе все сокровища других миров. Как же его звали…
/Лектор что-то бормочет под нос, пытаясь вспомнить. За партами шушукаются, кто-то достает мобильник, но тут попугай, сидящий на кафедре, перестает щелкать семечки, и смотрит на них злым красным глазом/
Нет, не вспомню сейчас.
Итак, торговля проходит три стадии – записываем. Это какой пункт плана? Четвертый.
Спекулятивная стадия. Работает шайка, бывает семья, а бывает одинокий дурак-любитель. Протащенную в рюкзаках или еще где контрабанду толком продать не удается, а если и удается, то рано или поздно приходит налоговая. И что тогда? Бросать все и пытаться найти портал в схожий мир? Все, кто в новые миры попадает без официального представительства – все спекулянты. Это, кстати, всегда понимали. Кому охота – пусть посмотрит фильм «Стрелец неприкаянный». Там герой бегал через временной портал в 1960-е, покупал там золото за советские рубли, потому как в 91-м, когда он жил – реформа прошла и старые купюры ничего не стоили. В результате дачу с заветным подвалом в 1960-х окружили комитетчики, а в 90-х тот ту же дачу окружили бандиты. Герою оставалось только проснуться… Думаю, у львиной доли беглецов проснуться не получается. Но если мозги на месте, если с местными налажен контакт, а за спиной «фирма», то портал спокойно берут под контроль. Мыслитель Лукин хорошо расписал этот случай в «Слепых поводырях» - больше нет нужды убивать случайных свидетелей, нет нужды выглядеть идиотом, строя сарай над оврагом.
Маркетинговая стадия. Работает легальная структура. Если вас определят в среднюю периферию – попадете именно на такую работу. Натуральными шакалами станете, так много искать придется: новые товары, чтобы прибыль повысилась, новые рынки. Воруют там много – так что искать «крыс» тоже придется. Местные государства не подарочек – там и взятки будут, и черт знает что. У нашей фирмы или же торгового дома будет свое политическое влияние, что хорошо. Белыми людьми себя воображать не советую, могут нож в спину воткнуть. И, да, осторожнее с участием в войнах. Это очень прибыльно, но на маркитантов, то есть боевых маркетологов – косо смотрят даже боевые пидарасы…
На всех этих приключениях вы можете заработать денег: вернуться сюда, купить домик, плевать в потолок от скуки. Но любая сделка – мелочь. Миллионы заработаете – повышения не получите. Требовать от вас будут совсем другого – политического влияния. Теоретики - что аматоры, что настоящие мыслители - порой плохо понимают, как его добыть. Скажем, теоретик Стросс в «Тайной семье» показывает, как в средневековый какой-то мир приспособился клан таскать телевизоры и антибиотики – они там вообще баронами жили, у местных герцогов «белой костью» считались. Никакое влияние за лекарство не купишь – спасибо скажут, поклониться могут, а к государственным делам ни на полшага не подпустят. Потому читаем историю британского завоевания Индии – как работала Ост-индийская компания - там и про врача байка есть, хе-хе… Подслушка? Да, конечно, где есть возможность - пользуемся. Запишем еще одну книжку - «Аквариум».
Нас, понятно, тоже наверняка кто-то подслушивает. Может прямо сейчас. Ага. Наши лучшие друзья и надежные союзники. Вы их всех знаете. Игра идет в обе стороны – и чистыми колониями в большом количестве обзаводиться не выходит.
Словом, третья стадия – политическая. Фирма становится настолько влиятельной, что заменяет собой государство. От вас будут требовать держать эту стадию как можно дольше. Начальство в первую голову. Федеральные промышленные союзы – во вторую. Банковское сообщество не отстанет. Вы можете представить, что сидя в дальних-дальних Коитусовках, вы получаете письмо, в котором перечисляются ваши вклады в основных банках, да еще делается небольшая поздравительная прибавка. Дескать, не меняй ничего, не надо… Такое практиковали еще года три назад.
Но есть проблема. Неизбежно накапливается напряжение. У нас еще процессы не зашли слишком далеко – самой старшей колонии двадцать шесть лет. Подполье там уже есть, теракты скоро пойдут. Думать надо будет. Мы сами чуть под «Солитер» не угодили, в статусе «периферийного домена», хорошо что мобилизоваться успели…
Потому простой совет – если будете оформлять вхождение какого-то мира в Содружество, используйте мелодраму. Фильмец «Параллельные миры» обязателен к просмотру: две планеты совсем рядом, одна сторона продает ресурсы, другая электричество – по завышенной цене. Есть мальчик и девочка, которые любят другу друга, есть медок волшебных пчел, которые живут в обоих мирах. Что-то досказывать надо? Надо? Тогда записывает: «Аватар», пишем имя «Покахонтас», обязательно находим историю получения Бразилией своего суверенитета – та еще фантастика. Словом, понадобится сюжет из самой дешевой мыльной оперы. Это уже на практической политологии рассказывать будут.
Или на полевой дератизации – если решат зачищать население и вас поставят в зондер-команды.
Малый перерыв. И впустите Колупанова…
___________
Закрыли дисплеи, все равно не успеете.. Кхе.
Отчего я тут все время вспоминаю фильмы? Какие-то книги? Отвечаю.
Там, за Полустанком, вы столкнётесь с «ужасными чудесами». Ни я, ни все наши специалисты не могут объяснить, что будет впереди. Академия заставит вас вызубрить мегабайты инструкций, и часть из них окажется полным бредом. Какая? Это чистая лотерея. Выиграл-проиграл. Самое смешное в этой лотерее всегда есть логика. В каждом случае. Но она становится известна потом. Когда победители раскладывают все по полочкам. Сидят такие люди, как я, диссертации пишут, умности всякие говорят. А кто не трех соснах не разобрался – те там остались.
Потому вы и будете читать тома неправдивых историй, где истины – на жемчужное зерно. Чтобы научиться это самое зернышко находить. Просто чуять, в какую сторону воздух нюхать.
Возвращаемся к лекции. Очередной пункт плана – пятый, довольно длинный - формула торговли.
Проще всего было бы составить трехмерную табличку – три на три, на четыре фактора, по координатным осям торговли. Учите её и полный порядок. Получается тридцать шесть ячеек. Но! Семья, которая торгует в межмирье – это одно, там стремление к спокойствию и консерватизму, а самая крошечная фирма – уже другое. Там в первую будут думать про увеличение оборотов. А еще государства выкидывают принципиально разные коленца с налогами. Еще есть политическая обстановка – в одних случаях надо кричать «Императору слава», а через день за это вешают на фонарях. Наконец, есть уровень технологий – глупо толкать классные дульнозарядные ружья в мир, где уже есть пулеметы.
Словом, если свести все это в табличку, то получится пара тысяч ячеек.
Нет, самые умные из вас, гении прилавка и бухгалтерского учета, уже вытащили свои мобильные телефоны и решили, что там все поместится. Засуньте телефоны, откуда взяли. На торговых операциях в пределах Содружества работает единственный министерский ИскИн, ему объяснять ничего не надо. Проблема в одном – очень маленькое у нас Содружество. За Полустанком устойчивое электричество есть только в четверти миров, а электроника работает хорошо в десятой части. Записываем название «Хроники Амбера». Нет, физика везде одна, антропный критерий… А-нтро-пны-й… соблюдается везде. Но в «Обители трикстера» ионосферы нет вообще. В «Жарке» - ионизирующее излучение зашкаливает – человек там тоже быстро портится. В «Лориене» агрессивные бактерии, жрут металл. Запчастей нет нигде. Нормальные солнечные батареи портятся от стрел. Ядерные батарейки тупо воруют дикари, а потом десятками мрут от лучевой болезни. Объяснять еще?
Если вы не хотите быть ходячими подставками для своих телефонов, надо хотя бы понимать принципы торговли.
Какой принцип? Системность. Торговля – это уже развитая форма отношений между мирами.
Пробьете портал в необитаемый мир – там ведь торговать не с кем. Возьмете лоток и будете мыть золото - ручками. Потому как автоматическую драгу вам так просто не выпишут. Мир может быть предельно непригоден для жизни, может быть заразен. Или местные хотят воевать: в старом рассказе Лукьяненко «Слуга» описывался вполне натуральный феодал, который получил в свое распоряжение портал и ходил в набеги. Война вообще постоянно «заслоняет Солнце» торговле. В той же «Белой дороге» Вартанова – военные действия и вторжения это постоянный фон. Кроме войны есть шизнутые проповедники, лазят всякие пропагандисты-революционеры, а еще есть прогрессоры – учат народ перед едой руки мыть. Сюжеты сказок и картинок тоже мигрируют, и оформить их в качестве товара не всегда удается. Продаете вы дикарю пистолет в упаковке, а логотип становится символом бога войны и вплетается в местные мифы. Это самое обычное дело. Не надо кормить внутреннюю жабу, сожалея, что упаковка досталась дикарю даром. Всех денег не заработаешь. А следующий символ вы уже сможете специально оговорить.
Запишем: торговля может существовать лишь когда возникает категория товара. То есть нечто, оторванное от своей абсолютной связи с другими вещами, в каком-то своем качестве обезличенное. За предметом или технологией должен стоять труд – «относительная форма стоимости» - который готовы обменять на другой труд.
Поясняю: если какой-то дикарь предлагает вам купить у него сына – хорошей торговлей это все равно не станет. Это гнилой подонок, который ударит вам в спину при первом случае, и запас товара у него ограничен. Товар – это оптовая поставка.
Поэтому с формулой работам так: возьмем частный случай, когда есть только устоявшая торговля, а потом процесс в динамике. /нарочито бодрым голосом/ Попытаемся увидеть закономерности процессов.
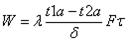
Для вычисления товаропотока через портал удобно пользоваться формулой теплового потока, которую придумал теоретик Фурье.
/карандаш движется над стеклом проектора. Почерк размашистый.
У него молодые, невозможно для его возраста молодые и живые руки. Они останутся такими, даже когда целиком поседеет голова./
С W все просто, это количества товара, t1a-t2a – разница потенциалов товара;
λ – это коэффициент вхождения в портал. Чем больше вам приходиться биться головой о придорожную каменюку, чтобы открыть «окошко» – тем меньше это число. Единица – это постоянно открытое «окно», ну а ноль, это портал, который вы видите на доске. Не видите? И я не вижу. А он там есть.
δ – это длина портала. Как правило, портал представляется образом нуль-перехода, шагнули в «окно», и вы на месте. Потому смотрим отрывок из фильма «Звездные врата» - там путешествие сквозь портал длится какое-то время. Если брать полет корабля в космосе, то даже при использовании разнообразных «надпространств» и «гиперпереходов» путешествие значимо во временном отношении.
Отношение проницаемости и длины портала (λ/ δ) - дальше называем «сопротивление портала».
F – площадь. Некоторые из вас задают дурацкий вопрос: «Че, так сразу квадратные метры и подставлять?». Умно тут отвечать не выходит, потому напомню старый анекдот-объявление: «возьму в аренду метр государственный границы». Почему там не написано про два метра? Или про три? Вот потому и не написано, что контрабанда поначалу весьма компактная. Где вы туловище просунете, там пройдут и ваши товары. Размер врат становится критичным, когда надо товар эшелонами гнать. Поначалу смотрим лишь на количество порталов.
τ – время. Показатель подлый, потому как объемы в идеале растут. Но сейчас про динамику не думаем. Просто секунды или годы.
Получаем:

, где N – число порталов.
У некоторых ваших коллег – тех, кто побойчее – возникает вопрос. Как считать порталы в межпланетных путешествиях? Если попадешь в технологические миры? Тут все зависит от доступа к кораблям. Если кораблей навалом, то весь космос это один громадный портал, если мало – то порталом становится каждый отдельный корабль, но это резко повышает сопротивляемость портала. Кстати, старый сериал «Светлячок» при всех своих глупостях показывает именно такую картину.
Но формула, которую я только что написал – брехня. Почему? Правильно, Щербина, товар требуется на что-то менять. Потоки должны идти в обе стороны. Фильм «Аватар» довольно нагло обманывает зрителя. Там легко увидеть феерические затраты землян. Никакой минерал, что летучий, что горючий - не стоил таких денег на его добычу. То есть в далекую Пандору вбивались сказочные суммы безо всякой прибыли. У нас такое тоже случается. И когда? Ну, вспоминаем «Брест»… Правильно, когда создаются аванпосты. Там уже не до прибылей…
В формулу необходимо добавить (t2b – t1b) – градиент импортируемого товара.
Причем - тонкий момент, который вы должны помнить в любое время суток - t1a-t2a должно равняться t2b-t1b по меновой стоимости. Дикарь ничего не получает даром, и ничего не дает даром вам. Откуда прибыль? Загуменников, ну ты даешь. Мозги дома забыл? Разница между меновой стоимостью на базаре и потребительской стоимостью импорта здесь, в наших городах - и дает прибыль.
Теперь вспоминаем реальную историю. Первые годы пребывания испанцев в Америке. Не, не вспоминаете? Вой стоял. Жалобы на тотальную убыточность предприятия. Какие-то дикие острова, золота мало. Риск плавания и затраты на каравеллы – совершенно не окупаются. Надо строить новые и новые форты, гарнизоны в которых вымирают от неизвестных заболеваний. Те самые аванпосты. Колумб ходил, как оплёванный. Лишь когда наладили систему рабского труда индейцев и добрались до серьезных золотых запасов – все стало на свои места.
Это я к тому, что формулу необходимо дополнить. Вводим коэффициент концентрации товара. Он состоит из транспортной связности системы того мира (Трансп), умноженной на уровень промышленного развития (Пром). Чем выше связность, тем быстрее торговец может получить товар, а чем выше развитие, тем больше вероятность, что торговцу доставят готовое изделие, а не сырье.
Тут снова начинаются тонкости. Если уровень промышленного развития ноль, то вы ничего не сможете привезти. Если он равен нашему – то везти не имеет смысла. Это понятно. Но бывает, что перетащить товар из другого мира на порядок проще, чем у нас волочь с другого континента. Это называется «разница в транспортной доступности». Торговать можно самыми обыкновенными вещами. У мыслителя Логинова в «Колодезе» отрытые портала было сравнительно легким, время прохода пренебрежительно малым. В результате человек мог прямо в пустыне раздавать воду, зачерпнутую в своём колодце. Его помощь лимитировали лишь собственные силы - воду из колодца руками черпать надо было.
В старых фильмах жанра «комической оперы» видим что-то похожее: герои садятся на поверхность планеты (звездолет, это фактически портал), а там им приходится чуть не пешком идти несколько километров до ближайшего трактира, где надо продать/купить очередной артефакт.
Понятно, что возникли гениальные мысли сделать систему транспортировки. Вы идете в Полустанок из нашей академии, а обратно возвращаетесь уже в Новую Зеландию. Такие схемы очень хорошо прописаны у теоретика-аматора Фармера в романах «Вертикального мира». Но у нас так не проходит – надо переться по территориям Полустанка, а там шаг в сторону себе дороже.
Но что мы реализовали именно по коэффициенту «Транспорта» - это свалки. В мегаполисах держат открытые порталы на «Вторую помойку» - кто хочет прочесть, как это представляли сто лет назад, тот берет роман «Билл – герой галактики».
Не устали? Идем дальше.
Сделали вы пару прибыльных рейдов, вспомнили добрым словом старика Магеллана с его нормами прибыли – не вспомните, Щелинцев? Говорите, жить охота? Ну, вам виднее, но скажу по секрету – это не так уж необходимо. Торговлишку надо расширять. Закон жанра. Товаров становится много, стоимость у них разная, надо чертить графики цен или даже считать «площадь под кривой» - общую выручку.
Формула поменяется.
/в аудитории слышится гул разочарования/
Что за стоны при виде интегралов? Стыд и позор!
Интеграл берется по виду товаров – от нуля, то есть чистого надувательства, до бесконечности. С этим – тонкость. Есть субъективная бесконечность, у теоретика Лукьяненко она хорошо показана в «Мальчике и тьме» - можно продать Настоящий меч, который гарантировано убьет единственного и неповторимого Настоящего врага. Есть и объективная бесконечность – это любой новый мир. Берете старую вещичку «Звездный король» аматора Джека Вэнса, там все брехня, но одну вещь он показал правдиво – как люди реагируют на новую чистую планету. Бросают все, идут на любые преступления – лишь бы попасть на невинную, чуточку блаженную землю. Сразу предупреждаю, торговля бесконечностью дело опасное. Если вы захотите продать билет на Верну, на счастливую Верну, с которой не возвращаются – пожизненное. Да, мальчики и девочки, именно так. Для государства когда люди уходят на Верну, это хуже, чем если бы они покупали героин. Так что если захотите создать религиозный культ, группировку, чтобы отправлять людей в «Машину счастья», то расстрел – вполне реальная перспектива. Такие дела.
Успокоились, успокоились /звук металлической погремушки, будто пластиковую бутылку набили дробью. Непонятно откуда исходит, но голоса тонут в нем/
Все формулы, которые мы писали до того - для связи лишь двух миров. Если появляется третий мир, то возникают комбинации товаропотоков, перепродаже, и формула приобретает вид
где маленькое n – число миров, между которыми возможно перемещение. Легко понять, что число связей зашкаливает, и торговля в нашем Содружестве процветает.
Только и эта формула – не окончательная. Нет. Сеть порталов неоднородна. Вы никогда не пройдете на «Геном-Пандору» без того, чтобы не заглянуть на «Василёк». То есть – узловые точки в сети. Потому тихонечко переходим к теории графов. Чего так скисли? Не сегодня переходим. Это во втором семестре будет, когда вас математики чуть загрузят…
Но на сегодня с интегралами закончили, второй краткий перерыв. Что, неприятно ленты в полтора часа, Свистунова? Ну так я вас сюда не звал. Дверь – там.
_____________________________
Возвращаемся к системным эффектам.
Все, что мы описали выше – это вариации чисто спекулятивного подхода. Бушков, уж на что аматор был, язвительно прошелся по таким перспективам - есть у него повестушка «Дети тумана». Там торгаши – в голове только «купи-продай, купи-продай», они сами не заметили, как прошла пара тысячелетий. В реальности вы столкнетесь с целой кучей сложностей.
Запишем – шестой пункт - ограничения качественного роста.
Во-первых, запасы сырья и старая-добрая емкость рынка.. В «Мальчике и тьме», все обитатели мира, продали свой свет торговцам – воцарилась тьма, обороты упали. Пришлось торговцам переключаться на торговлю едой и поделиями из человеческих тел. Но там хотя бы заранее было ясно, когда истощится ресурс. У вас – другое. Приходит утром дикари, а золота больше нет. «Концилася, менеджерка, концилася». Пробить ход в похожий мир – получается редко.
Идеальный вариант для нас был бы как в «Империуме»: география у параллельных миров одинаковая, а уровень государства – разный. Приезжаешь в соседний мир, даешь бусы дикарям, и в который раз добываешь туже самую нефть. Кейт Лоумер был настоящий корифей в образах. Но – увы.
Во-вторых, есть критические изделия, которые мы не можем никому продавать. И бомбы – это так, мелочь. Некий инженер Рафферти создал аппарат, в котором исчезал весь мусор. Отходы телепортировались на Вегу. А там жизнь, разум, есть деньги. Аппарат был продан – вот на Вегу и продали. Там тоже стали торговать отличным утилизатором мусора! И две планеты засыпали друг друга отходами. У аматора-теоретика Морфетта в «Корзинке для мусора» это выглядит смешно, но, по сути, речь идет уже не о товаре, а о технологии.
В нашей скучной реальности за попытку вот так продать важную технологию, вам оторвут голову. Как говорил практик Торквемада: «Это – совсем другое дело».
Развитие технологии в периферийных мирах – фейерверк сюрпризов. Меняются почти все коэффициенты в формуле. Вчерашние дикари становятся сегодняшними «деловыми партнерами». Меняется общество, усиливается государство.
Если представить равномерную сетку из миров, то у нас идет развитие общей, глобальной цивилизации. Почти все, как на Земли триста лет назад. Есть некий технологический центр. Есть периферия-фронтир, которая медленно расширяется, и которую невозможно вычистить до конца. Читаем описание этой модели у теоретика Хайнлайна в «Гражданине галактики» - только там были планеты.
Если мы будем описывать процесс изменения торговли в формуле – получим трехэтажное выражение, которым «в поле» не сможет пользоваться ни один из вас, и даже я.
Формула должна быть проста и понятна.
Тут у нас есть два выхода.
Можно использовать вариант критериев подобия, а можно сделать чисто практическую штуковину, в которой будут лишь качественные величины.
По «критериям подобия».
В разных государствах, при разных конституциях и налогах – есть соотношения, которые повторяются с неизменной точностью. Вы такое знаете – «число Рейнольдса» - в школе проходили.
Подробно рассмотрим их на четвертой лекции, сейчас для примера укажу лишь «Брабантский коэффициент». Название из классики, из кружев. Не вспоминаете?
/студентам уже почти все равно. Лектор выражает сожаление голосом старого мультяшного персонажа/
- Темнота! Темнота!
Ладно, не будем ковырять раны.
Что это значит?
Чтобы контрабанда прошла успешно, маленький, но очень дорогой предмет, надо как можно быстрее протащить через посты. Чем выше значение Брабантского, тем больше шансов на удачу. Брильянт можно провезти в ухе, а вот если кружева прицепить к баранам….
Чичиков? Ну наконец-то вспомнили! Куцевол, ты прямо вырос в моих глазах.
Ладно, сейчас будет последняя формула.
/оживление на скамьях/
Это чисто практическая формула, которой на периферии все и пользуются. В ней нет ни одного точного значения.
Причем, «Структурное сопротивление» бывает биологическим, технологическим и политико-социальным.
Вы ничего не считаете. Никогда. Вы просто вспоминаете эту формулу, и говорите сами себе – будет торговля или не будет. Главное на периферии – быстрота, нюх и решительность. Попадёте в мир, где хорошо продают живую воду – придется торговать ей. Где мертвую – тоже справитесь.
Расчеты будут, когда появятся оптовые склады. До того – чутье. После того – власть государства.
Совместить свободу и формулы? О чем я говорил в начале лекции, Зурова? Что многие убегают. Понятное дело, с калькуляторами в руках. Свои торговые империи строить думают, государства создавать. Но понимать надо – если есть правила игры, то за любые плюшки надо платить. Если вы хотите, чтобы из-за вас дрались храбрые рыцари, то придется отдаваться победителю. Даже плешивому и горбатому подонку. Если он в схватке выиграл – поздно вспоминать про эмансипацию.
А чего все так приуныли? Вспомнили фокусы на семейном фронте?
Да, начиналось все замечательно – чтобы снизить процент беглецов, государство решило устраивать новичкам «медовые домики». Коттеджи, где был уют, любовь красивых девушек и даже чуточку счастья. Это не аттракционы Старца горы с фидаями – но сходство видно. Свет в окошке, маяк для рисковых людей… Только вот клонирование устойчивых результатов не дает, процент «пробирочных» детей с талантом слишком низкий. Вот и всплыли из прошлого династические технологии.
Знаю, молодые на это очень сильно обижаются. Плюс толпа родственников, которых придется тащить на себя всею жизнь. Плавали – знаем. Только подумайте – это ведь плата за то, что порталы могут открывать только люди. Механизируют процесс, и все, вы тут станете не нужны. Останется только установка программ на жесткие диски…
Тема завтрашней лекции – таможенное оформление на «бутылочных горлышках». Хорошо, если над вопросами вы подумаете заранее.
Переклички не будет – вас Кеша сфотографировал.
Все свободны.